中國科學院東北地理與農業生態研究所在多元素耦合控制土壤能量持留方面取得進展
物質循環與能量流動是驅動生態系統形成演化的最基本過程。能量在生態系統中的傳輸與分配是單向的,且依靠物質循環過程進行,而物質循環則具有多向性和往復性。長期以來,生物地球化學研究中重點關注碳、氮、磷等生源要素的循環過程,忽視了組成生態系統的多要素之間的耦合特征,且與能量流動間的關聯研究較少,這導能量流動與物質循環的研究脫節。
生態系統中植物通過光合作用固定太陽能以供給消費者。植物死亡后其殘體輸入形成土壤有機碳庫,并構成土壤中主要的能量來源。因此,土壤有機碳可視為能量的儲存庫和周轉池,其大小與有機碳自身特性與多元素循環密切相關。然而,土壤持留能量的能力受何種因素調控?其與多元素耦合及有機碳自身特性有何關聯?相關科學問題尚未有解答。
東北地理所濕地生物與環境學科組研究人員,以長白山為研究對象,系統調查并對比分析長白山不同海拔及植被帶中土壤與枯落物熱值、土壤有機碳分子特性與多樣性、土壤多元素耦合組成特征,揭示了多元素耦合與有機碳分子特征對土壤能量持留能力的控制機理。
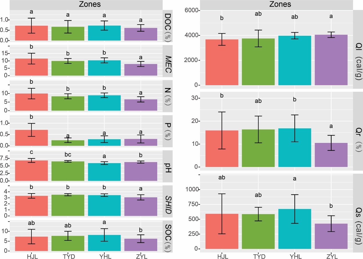
研究結果表明:長白山土壤(Qs)及枯落物(Ql)中平均能量水平分別為565 cal/g和3799 cal/g,Qs/Ql(Qr)比例在6.28%~43.65%之間變化,平均為14.74%。不同植被帶Qs和Ql之間差異顯著。應用熱裂解-氣質聯機解析土壤有機碳分子結構特征,長白山土壤中共鑒定出635個分子結構,有機質分子多樣性(SHID)1.81~4.17范圍內變化,針葉林中SHID顯著低于其他植被帶。通過計算12種元素的耦合系數(MEC)發現,MEC在5.25~24.56間變化,平均為9.88(Fig.1)。

Fig.1 ANOVA analysis of soil properties,Qs,Ql and QR. Different letters meant differences at a significant level.
相關分析表明,海拔與Ql、MEC與Qr和Qs、SHID與Qs均呈正相關(表1),MEC與Qs相關系數最高,海拔與Ql相關系數最低,SHID僅與Qr呈正相關。本研究首次報道山地生態系統中Qs隨海拔高度存在顯著差異,并證實SOC含量與Qs呈顯著正相關(圖2a),尤其是有機質蘊含的能量值(定義為SOC含量表示的熱值,Qsc,單位為KJ/gC)隨海拔高度顯著增加(圖2b)。
Table 1 Correlations between Qs, Ql, Qr and environmental factors


Fig.2 Linear regression between SOC and Qs, between Qsc and elevation. Different shapes and colors represented samples from different zones.
VPA分析證實MEC對Qs的影響最大,MEC可單獨解釋Qs變化的19%, MEC與環境因素(海拔和pH)結合可以共同解釋20%的Qs變異性(圖3a)。環境因素或SHID單獨對Qs變異的解釋能力相對較低,分別為9%和1%,而MEC、SHID和環境因素聯合可解釋60%的Qs變異性。SEM模型顯示海拔、MEC和SHID均對Qs具有正效應,其大小順序為MEC>海拔>SHID(圖3b)。

Fig.3 Impacts of MEC, SHID, and environmental factors on energy store in soils. The Fig.4a was explored based on the VPA analysis, which numbers in circles meant the exploration of variables on Qs and Qr, and numbers in where the circles meet reflected the combinations of two or three variables. The Fig.4b showed the SEM model that reflect direct or indirect effects of variables on Qs. Black line colors meant positive effects while the red color meant negative effects. Line width reflected absolute effect values. Numbers on the lines were path coefficients. * and *** indicated the significant level at p<0.05 and p<0.001, respectively.
本研究將SOC視為能量的攜帶者與儲存池,首次揭示土壤中多元素耦合對能量固持具有主要調控作用,可深化生物地球化學研究中物質循環與能量傳遞之間耦合機理的認識。研究成果近期在線發表于農林科學領域重要期刊Catena上,論文由濕地生物與環境科學科組桑孌碩士研究生、張仲勝研究員(通訊作者)等共同完成。該研究得到國家自然科學基金(U20A2083)等共同資助。
論文信息:Sang L, Zhao WW, Wu HB, Jiang S, Zhang ZM, Zhang ZS, Wu HT. Multiple element coupling and molecular-chemical diversity of organic matter control how much energy is retained in soils in mountain ecosystems. Catena, 2024, 247: 108548.
原文鏈接:
https://www.sciencedirect.com/science/article/pii/S0341816224007458?dgcid=author
附件下載:
吉公網安備22017302000214號